奥特曼融合激战手机版(ULTRA FILE)
免费下载

奥特曼融合激战手机版(ULTRA FILE)

奥特曼游戏大全

  • 平   台:安卓
  • 分   类:动作射击
  • 大   小:
  • 评   分:
  • 语   言:简体中文
  • 发   布:安卓狗
  • 浏   览:324次
  • 更   新:2026-04-13 22:14:36

手机扫码免费下载

纠错留言

#奥特曼融合激战手机版(ULTRA FILE)介绍

奥特曼融合激战手机版是一款热门的AR游戏,英文名为ULTRA FILE,它将卡通和AR技术结合在一起,让玩家能够体验到令人兴奋的AR体验。玩家可以使用智能手机的摄像头来捕捉周围的景象,然后将奥特曼从摄像头中“加入”场景中,并在他们的真实世界中进行运动活动。

在游戏中,玩家可以体验激烈的战斗,奥特曼融合激战还有丰富的可定制选项。玩家可以选择不同的装备,独特的武器,以及不同的奥特曼,每个奥特曼拥有独特的技能和属性,根据不同的战斗情况和敌人类型选择合适的奥特曼进行战斗,以增强战斗实力。

此外,奥特曼融合激战游戏内还支持增加不同技能,并提供各种游戏礼物,可以让玩家获得更多优势。它还可以帮助玩家扩大自己的奥特曼库,丰富自己的游戏经验。玩家还可以使用其定制的武器,根据不同的挑战进行战斗,也可以和其他玩家参与1V1战役,与敌人进行展开一场激战,利用奥特曼的强大技能来抵制敌人的进攻,保卫地球安全。喜欢玩奥特曼融合激战的朋友千万不要错过!来试试看吧~

游戏特点

1、精美的游戏画面:游戏采用了精美的2D画面,即使是在小屏幕上也能过非常流畅的游戏体验

2、多人在线模式:玩家可以在游戏中与其他玩家组成队伍进行多人战斗,更好的体验游戏的快感和紧张感。

3、多种奥特曼选择:玩家可以解锁多款奥特曼,每一款奥特曼都有独特的技能和属性,给玩家留下了更多的选择。

4、多样化的游戏玩法:游戏中不仅有挑战BOSS和闯关模式,还有丰富多彩的任务和活动,保证了玩家的游戏体验。

5、高自由度的操作模式:游戏的操作模式简单易用,玩家可以通过屏幕上简单的滑动或者点击完成各种操作,极大的提升了游戏的自由度和趣味性。

6、原汁原味的《奥特曼》IP:游戏完美还原了《奥特曼》的经典元素,包括各个奥特曼的外形、名字、技能等,让玩家可以更深入地感受到这个经典动漫。

奥特曼融合激战手机版卡片人物详解

1、奥特曼融合激战 耀闪新光2弹

奥特曼融合激战手机版(ULTRA FILE)

奥特曼融合激战手机版(ULTRA FILE)

奥特曼融合激战手机版(ULTRA FILE)

奥特曼融合激战手机版(ULTRA FILE)

奥特曼融合激战手机版(ULTRA FILE)

奥特曼融合激战手机版(ULTRA FILE)

奥特曼融合激战手机版(ULTRA FILE)

奥特曼融合激战手机版(ULTRA FILE)

2、奥特曼融合激战 耀闪新光1弹

奥特曼融合激战手机版(ULTRA FILE)

奥特曼融合激战手机版(ULTRA FILE)

奥特曼融合激战手机版(ULTRA FILE)

奥特曼融合激战手机版(ULTRA FILE)

奥特曼融合激战手机版(ULTRA FILE)

奥特曼融合激战手机版(ULTRA FILE)

奥特曼融合激战手机版(ULTRA FILE)

奥特曼融合激战手机版(ULTRA FILE)

3、奥特曼融合激战 曙光再现1弹

奥特曼融合激战手机版(ULTRA FILE)

奥特曼融合激战手机版(ULTRA FILE)

奥特曼融合激战手机版(ULTRA FILE)

奥特曼融合激战手机版(ULTRA FILE)

奥特曼融合激战手机版(ULTRA FILE)

奥特曼融合激战手机版(ULTRA FILE)

奥特曼融合激战手机版(ULTRA FILE)

奥特曼融合激战手机版(ULTRA FILE)

奥特曼融合激战进阶攻略大全

游戏版本进化——

奥特曼融合激战手机版(ULTRA FILE)

卡片稀有度——

奥特曼融合激战手机版(ULTRA FILE)

各弹CP卡刷取效果——

奥特曼融合激战手机版(ULTRA FILE)

属性克制——

奥特曼融合激战手机版(ULTRA FILE)

全角色属性及爆发类型——

奥特曼融合激战手机版(ULTRA FILE)

战斗及辅助技能——

奥特曼融合激战手机版(ULTRA FILE)

开局固有牵绊——

奥特曼融合激战手机版(ULTRA FILE)

固有牵绊详细加成——

奥特曼融合激战手机版(ULTRA FILE)

同人牵绊——

奥特曼融合激战手机版(ULTRA FILE)

牵绊必杀技——

奥特曼融合激战手机版(ULTRA FILE)

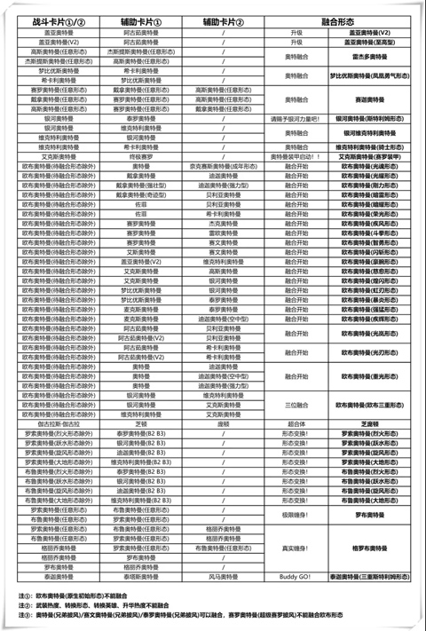
奥特融合及合体——

奥特曼融合激战手机版(ULTRA FILE)

转换槽及必杀槽——

奥特曼融合激战手机版(ULTRA FILE)

游戏亮点

1、完成奥特曼战斗对决,超多灵活地战斗技巧,独具特色超多挑战

2、很多的战术等你去布置,酷炫华丽的特效释放将会时刻闪耀你的双眼

3、战斗比你想象的更加精彩,因为你遇到的对手都很强他们可都是超级怪兽

更新日志

v2.0.0

修复了已知bug

#奥特曼融合激战手机版(ULTRA FILE)截图